Сильфонные компенсирующие устройства
ООО «ПТЭ-87» имеет возможность поставить узлы СКУ с ППУ и ППМ изоляцией в ПЭ (полиэтилен) или ОЦ (оцинкованная сталь) оболочке.
Продукция сертифицирована. 
Компенсатор СКУ в ППМ
Компания ООО «ПТЭ-87» предлагает изготовление сильфонных компенсаторов СКУ в ППМ (или в пенополимерминеральной) изоляции. На сегодняшний день компенсаторы СКУ признаны оптимальным средством защиты не только трубопроводов от повреждений, но и персонала и окружающей среды от вредных воздействий среды, транспортируемой под высоким давлением.
Сильфонный компенсатор СКУ в ППМ обеспечивает герметичность магистрального и иного трубопровода, способствует предотвращению риска протечек транспортируемого продукта во внешнюю среду. Данные устройства предназначены для оснащения трубопроводов, прокладываемых бесканально (под землей). Также они эффективно выполняют свои функции в трубопроводах, прокладываемых над поверхностью грунта.
Компенсаторы СКУ в пенополимерминеральной изоляции отличаются высокими энергосберегающими характеристиками. Кроме того, ППМ изоляция защищает сам сильфон от высоких нагрузок, препятствуя его преждевременному разрушению. В целом, преимущества ППМ изоляции заключаются в том, что она продлевает срок службы компенсатора и способствует снижению теплопотерь на 3%.
Специалисты нашей компании оперативно ответят на все вопросы, связанные с условиями поставки – сроками, объемами, способами доставки, ценами на компенсаторы сильфонные в ППМ изоляции.
Пример обозначения изделия при его заказе и записи в документацию другой продукции:
Сильфонное компенсирующее устройство с двухсторонней пенополимерминеральной изоляцией присоединительных патрубков условным диаметром DN 100 мм, условным давлением 25 кгс/см2 (2,5 МПа), максимальной компенсирующей способностью λ=100 мм:
СКУ.ППМи-100-25-100
1.1.2.Условные проходы СКУ по ГОСТ Р 51571. 1.1.3.Условные, пробные и рабочие давления по ГОСТ 356. 1.1.4.Присоединительные размеры патрубков под приварку к трубопроводами по ГОСТ 10704, ГОСТ 8732. 1.1.5. Типы сварных швов присоединительных патрубков по ГОСТ 14771. 1.1.6. Длины и присоединительные размеры СКУ могут быть изменены по согласованию с заказчиком. 1.1.7. Габаритные размеры и масса СКУ должны соответствовать требованиям конструкторской документации.
Отклонение наружного диаметра СКУ - ± 5 мм;
Для присоединительных патрубков:
- предельный минусовой допуск по толщине стенки трубы при толщине стенки от 3,5 до 3,9 мм – - 0,31мм, от 3,9 до 5,5 мм – - 0,5 мм, от 5,5 до 7,5 мм – - 0,6 мм, более 7,5 мм – - 0,8 мм.
- предельные отклонения по наружному диаметру для DN от 57 до 159 мм – ±0,8 %, от 159 до 426 мм – ±0,75 %, более 530 мм – ± 2 мм.
- овальность для DN от 57 до 159 мм – ±0,8 %, от 159 до 426 мм – ±0,75 %, более 530 мм – ±1 %.
Допуск на длину – ± 10 мм; Допустимое отклонение массы – ±10%.
1. Устройство и принцип работы
Схема расположения деталей

Рис.1
1 - сильфонный компенсатор (СК) 2 - присоединительные патрубки 3 - футляр с тепловой изоляцией 4 - сигнальные проводники системы ОДК
При изменении длины теплопровода гофры сильфонного компенсатора установленного на этом участке изделия, упруго деформируясь, воспринимают в пределах компенсирующей способности изменения длины участка трубопровода, вызванное температурным расширением и, тем самым, предотвращают изгиб теплопровода или его разрушение. Конструкция внутренней поверхности футляра придает изделию жесткость, обеспечивает соосность сильфонов при их перемещении, а также их защиту от поперечных усилий и изгибающих моментов. Сигнальные проводники служат для обнаружения возможных дефектов изделия, появившихся во время эксплуатации.
2. Указания по эксплуатации
2.1. Изделия допускается применять в районах строительства с расчетной наружной температурой для проектирования систем отопления не ниже минус 40°С. Сейсмичность районов строительствам не более девяти баллов по шкале Рихтера. 2.2. Изделия допускается применять при содержании хлоридов в сетевой воде не более 250 мг/кг. 2.3. Изделия должны устанавливаться на прямолинейных участках трубопроводов, ограниченных неподвижными опорами. Между неподвижными опорами допускается размещать только одно изделие. Допускается отклонение от прямолинейности в плане и профиле с обязательной установкой направляющих опор в тех же местах не менее двух перед каждым компенсирующим устройством. 2.4. Способ присоединения к трубопроводу – сварка. 2.5. При любых способах прокладки трубопроводов, кроме подземного бесканального, установку компенсирующих устройств следует предусматривать, как правило, у одной из неподвижных опор. 2.6. На бесканальных подземных тепловых сетях размещение изделия должно осуществляться в середине участка трубопровода, ограниченного неподвижными опорами. 2.7. До и после компенсирующего устройства необходимо устанавливать направляющие опоры, исключающие перемещение трубопроводов в радиальном направлении. При бесканальной прокладке трубопровода установка направляющих опор не требуется. Примеры схем размещения сильфонного компенсирующего устройства, направляющих и неподвижных опор приведены на рис.2.

- сильфонное компенсирующее устройство
- концевая неподвижная опора
- направляющая опора
- промежуточная неподвижная опора
Рис.2 Схемы размещения сильфонных компенсирующих устройств и опор на трубопроводах.
2.8. На участках трубопроводов с сильфонными компенсирующими устройствами не допускается применение подвесных опор. 2.9. При выборе неподвижных опор должны учитываться следующие факторы:
- распорное усилие компенсатора;
- усилие жесткости компенсатора;
- трение в направляющих и скользящих опорах;
- величина центробежной силы, возникающей при перегибе трубопровода.
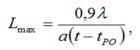
Расчет нагрузок на концевые и промежуточные неподвижные опоры при различных способах установки сильфонных компенсирующих устройств выполняется на этапе проектирования тепловой сети и приводится в специальной литературе. 2.10. Максимальное расстояние между неподвижными опорами трубопровода определяется по формуле:

где 0,9 - коэффициент запаса, учитывающий неточности расчета и погрешности монтажа; λ - компенсирующая способность компенсатора, мм a - средний коэффициент линейного расширения трубной стали при нагреве от 0°С до t°С, мм/м°С; t - расчетная температура сетевой воды в подающем трубопроводе, °С; tpo - расчетная температура наружного воздуха для проектирования системотопления, принимаемая равной средней температуре воздуха наиболее холодной пятидневки по главе СНиП «Строительная климатология и геофизика», °С.
2.11. Изделия не требуют обслуживания в процессе эксплуатации и относятся к классу неремонтируемых изделий, для них не требуется сооружения специальных камер, а при наземной прокладке – площадок для обслуживания.
3.Указания по монтажу
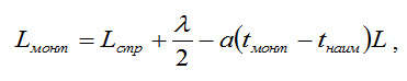
3.1. Монтаж изделий производится в соответствии с проектом трубопровода, выполненным проектной организацией. 3.2. Перед монтажом изделия должны быть проверены на соответствие их технических характеристик проекту тепловой сети, а также на отсутствие механических повреждений. 3.3. При перемещении компенсирующих устройств в период монтажа должны быть приняты меры, предохраняющие изделие от толчков, ударов и исключающие загрязнение или затопление грунтовыми водами его внутренней полости. 3.4. При выполнении сварочных работе торцы изоляции компенсирующего устройства следует защищать жестяными разъемными экранами толщиной 0,8…1 мм для предупреждения ее возгорания. Монтаж изделий разрешается производить при температуре воздуха не ниже минус 30°С. 3.5. Перед приваркой изделия к трубопроводу проверяются отклонения соединений изделия с трубопроводом, которые не должны превышать следующих значений: допуск соосности патрубков – 2 мм; допуск параллельности торцов присоединительных патрубков и присоединяемых труб – 3 мм. Максимальный сварочный зазор между патрубком и трубопроводом – 2 мм. 3.6. Изделие следует устанавливать на теплопроводах так, чтобы направление стрелки (при ее наличии) на корпусе компенсирующего устройства совпадало с направлением движения теплоносителя. 3.7. Изделия монтируются на трубопроводе с предварительной растяжкой. Длина компенсатора при монтаже Lмонт., мм определяется по формуле:

где Lстроит. – строительная длина компенсатора в состоянии поставки, мм; λ - компенсирующая способность компенсатора, мм; A - коэффициент линейного расширения трубной стали, применяемый 0,012 мм/м °С; tнаим.- наименьшая температура воздуха при эксплуатации, °С; L - длина участка компенсатора между неподвижными опорами, на котором монтируется компенсатор, м.
Установку монтажной длины компенсирующего устройства производит монтажная организация.
3.8. Монтаж изделий рекомендуется производить в следующей последовательности:
- участки трубопровода до и после компенсирующего устройства должны быть смонтированы и закреплены в неподвижных опорах таким образом, чтобы расстояние между концами труб в месте установки изделия соответствовало монтажной длине Lмонт. при температуре окружающего воздуха момента закрепления трубопровода во второй неподвижной опоре; температура окружающего воздуха и расстояние между концами закрепленных труб должны быть зафиксированы актом;
- компенсирующее устройство приваривается к одному из участков трубопровода;
- на свободный присоединительный патрубок изделия и свободный конец трубопровода устанавливается универсальное монтажное приспособление, с помощью которого компенсатор изделия растягивают до стыка с трубопроводом, и стык заваривают;
- с изделия снимают монтажное приспособление.
При растяжении компенсатора необходимо обеспечить одинаковые перемещения присоединительных патрубков относительно торцов изделия. При невозможности установки изделия в середине прямолинейного участка теплопровода между неподвижными опорами допускается его установка в любом месте прямолинейного участка теплопровода. Для этого при растяжении компенсатора необходимо обеспечить перемещения присоединительных патрубков относительно торцов компенсирующего устройства обратно пропорциональными длинами участков теплопровода между изделием и неподвижными опорами. 3.9. Соединение проводников-индикаторов изделия с общей сигнальной системой необходимо производить после окончания сварочных работ перед изоляцией стыков присоединительных патрубков с теплопроводом. Проводники-индикаторы нигде не должны касаться металла труб.
|